Официальное опубликование правовых актов
ОФИЦИАЛЬНОЕ ОПУБЛИКОВАНИЕ
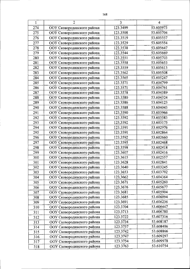
Постановление губернатора Амурской области от 10.08.2020 № 203
"О зонах охраны охотничьих ресурсов на территории Амурской области"
Номер опубликования: 2800202008130003
Дата опубликования: 13.08.2020
Страница №169 из 225:
Увеличить