Официальное опубликование правовых актов
ОФИЦИАЛЬНОЕ ОПУБЛИКОВАНИЕ
Постановление Правительства Амурской области от 31.07.2020 № 511
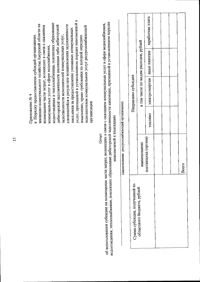
"Об утверждении Порядка предоставления субсидий организациям жилищно-коммунального хозяйства Амурской области на возмещение части затрат, возникающих в связи с оказанием коммунальных услуг в сфере водоснабжения, водоотведения и теплоснабжения, повлекших образование дебиторской задолженности населения либо дебиторской задолженности исполнителей коммунальных услуг, сложившейся в результате возникновения задолженности населения за предоставление указанных коммунальных услуг, признанной в установленном порядке невозможной к взысканию, право требования по которой передано исполнителем коммунальных услуг ресурсоснабжающей организации"
Номер опубликования: 2800202008060004
Дата опубликования: 06.08.2020
Страница №16 из 19:
Увеличить