Официальное опубликование правовых актов
ОФИЦИАЛЬНОЕ ОПУБЛИКОВАНИЕ
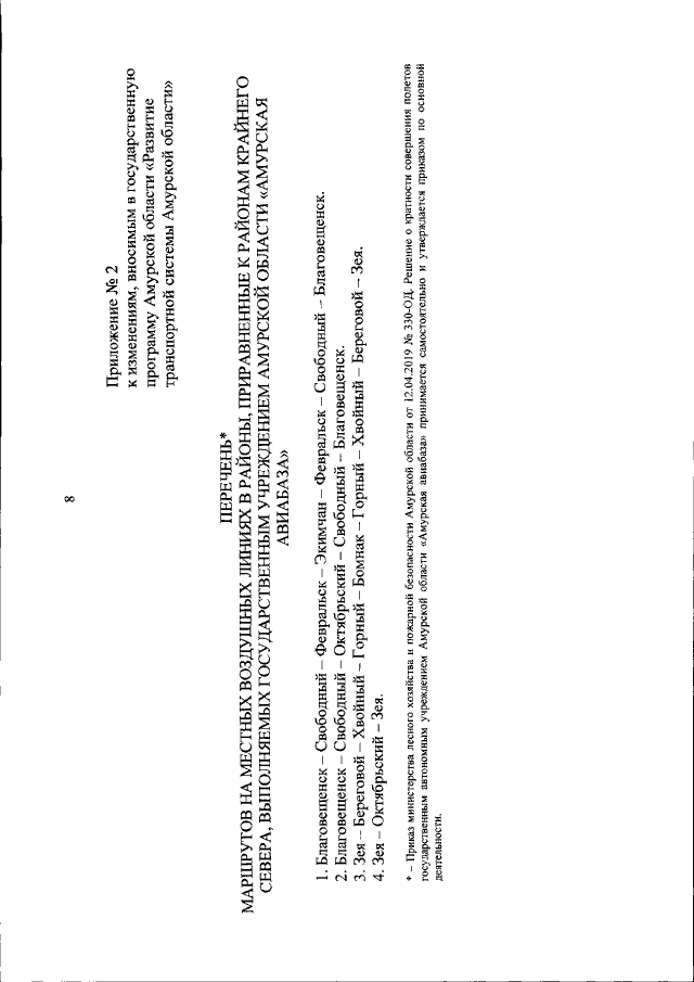
Постановление Правительства Амурской области от 29.05.2020 № 346
"О внесении изменений в постановление Правительства Амурской области от 25.09.2013 № 450"
Номер опубликования: 2800202006030015
Дата опубликования: 03.06.2020
Страница №9 из 10:
Увеличить