Официальное опубликование правовых актов
ОФИЦИАЛЬНОЕ ОПУБЛИКОВАНИЕ
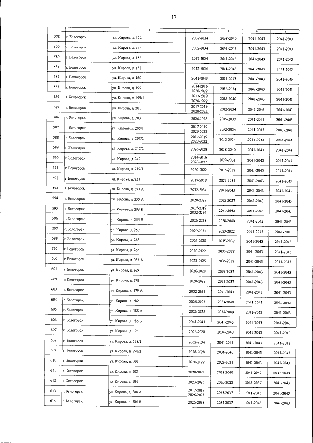
Постановление Правительства Амурской области от 28.11.2019 № 666
"О внесении изменений в постановление Правительства Амурской области от 23.01.2014 № 26"
Номер опубликования: 2800201912050007
Дата опубликования: 05.12.2019
Страница №19 из 137:
Увеличить