Постановление Правительства Амурской области от 28.11.2019 № 665
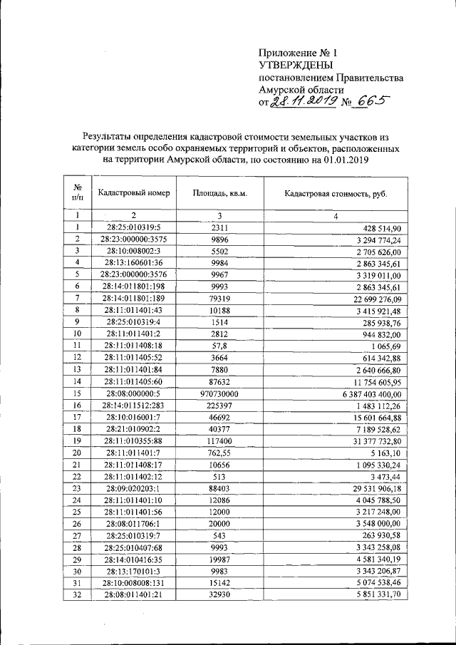
"Об утверждении результатов определения кадастровой стоимости земельных участков из категории земель особо охраняемых территорий и объектов, расположенных на территории Амурской области"
"Об утверждении результатов определения кадастровой стоимости земельных участков из категории земель особо охраняемых территорий и объектов, расположенных на территории Амурской области"
Номер опубликования: 2800201911290007
Дата опубликования:
29.11.2019
