Официальное опубликование правовых актов
ОФИЦИАЛЬНОЕ ОПУБЛИКОВАНИЕ
Постановление Правительства Амурской области от 28.11.2019 № 664
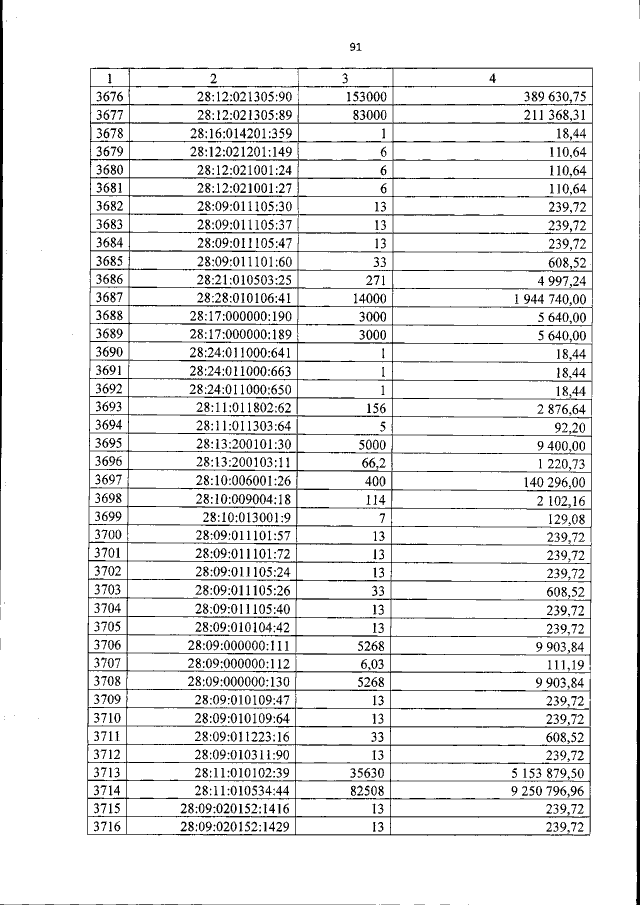
"Об утверждении результатов определения кадастровой стоимости земельных участков из категории земель промышленности, энергетики, транспорта, связи, радиовещания, телевидения, информатики, земель для обеспечения космической деятельности, земель обороны, безопасности и земель иного специального назначения, расположенных на территории Амурской области"
Номер опубликования: 2800201911290006
Дата опубликования: 29.11.2019
Страница №93 из 221:
Увеличить