Официальное опубликование правовых актов
ОФИЦИАЛЬНОЕ ОПУБЛИКОВАНИЕ
Постановление Правительства Амурской области от 24.09.2019 № 538
"О внесении изменений в постановление Правительства Амурской области от 25.09.2013 № 452"
Номер опубликования: 2800201910010008
Дата опубликования: 01.10.2019
Страница №11 из 70:
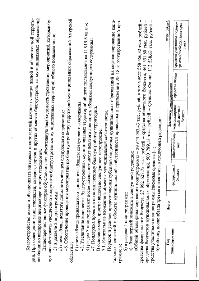
Увеличить