Официальное опубликование правовых актов
ОФИЦИАЛЬНОЕ ОПУБЛИКОВАНИЕ
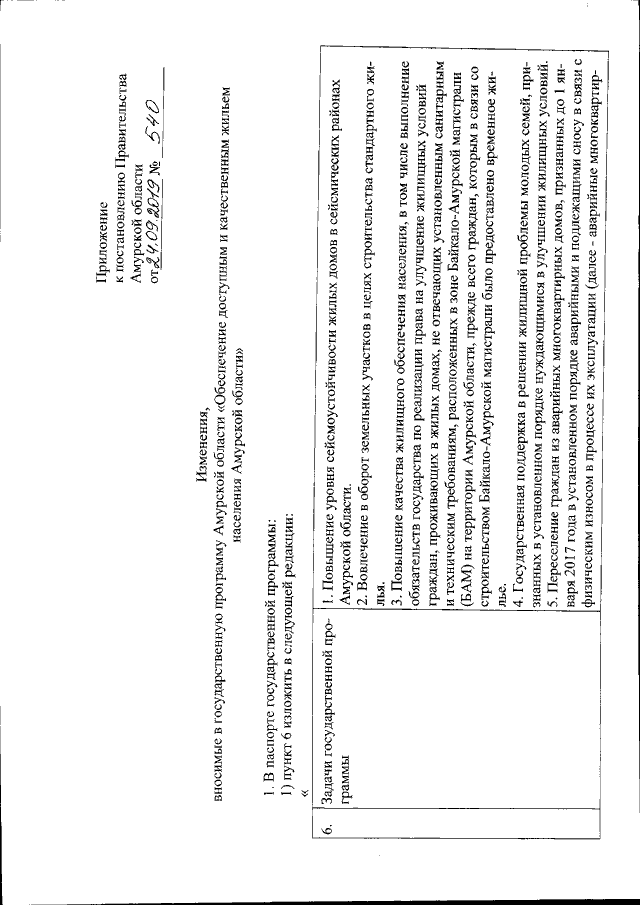
Постановление Правительства Амурской области от 24.09.2019 № 540
"О внесении изменений в постановление Правительства Амурской области от 25.09.2013 № 446"
Номер опубликования: 2800201910010005
Дата опубликования: 01.10.2019
Страница №2 из 38:
Увеличить