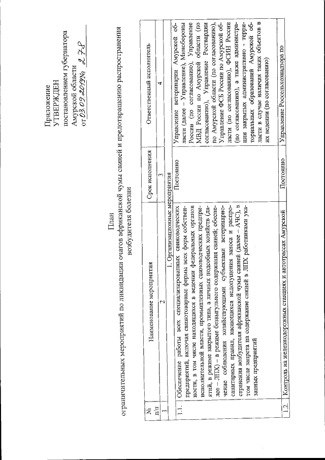
Постановление губернатора Амурской области от 03.09.2019 № 278
"Об установлении ограничительных мероприятий (карантина) по африканской чуме свиней"
"Об установлении ограничительных мероприятий (карантина) по африканской чуме свиней"
Номер опубликования: 2800201909090006
Дата опубликования:
09.09.2019
