Официальное опубликование правовых актов
ОФИЦИАЛЬНОЕ ОПУБЛИКОВАНИЕ
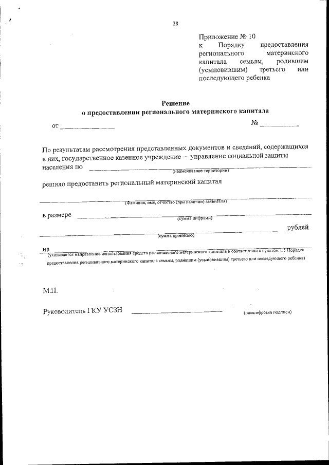
Постановление Правительства Амурской области от 08.08.2019 № 442
"О внесении изменений в постановление Правительства Амурской области от 27.01.2012 № 32"
Номер опубликования: 2800201908140004
Дата опубликования: 14.08.2019
Страница №29 из 30:
Увеличить