Официальное опубликование правовых актов
ОФИЦИАЛЬНОЕ ОПУБЛИКОВАНИЕ
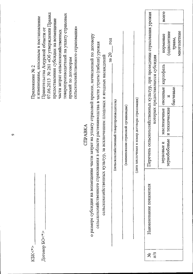
Постановление Правительства Амурской области от 18.07.2019 № 397
"О внесении изменений в постановление Правительства Амурской области от 07.06.2013 № 261"
Номер опубликования: 2800201907240007
Дата опубликования: 24.07.2019
Страница №10 из 23:
Увеличить