Официальное опубликование правовых актов
ОФИЦИАЛЬНОЕ ОПУБЛИКОВАНИЕ
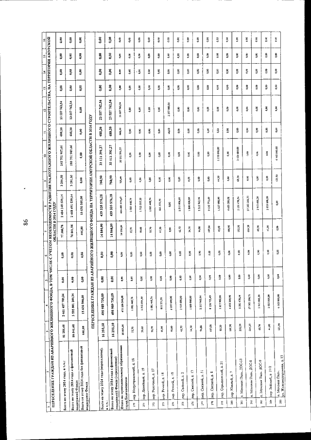
Постановление Правительства Амурской области от 16.04.2019 № 200
"О внесении изменений в постановление Правительства Амурской области от 12.04.2013 № 157"
Номер опубликования: 2800201904230010
Дата опубликования: 23.04.2019
Страница №90 из 166:
Увеличить