Официальное опубликование правовых актов
ОФИЦИАЛЬНОЕ ОПУБЛИКОВАНИЕ
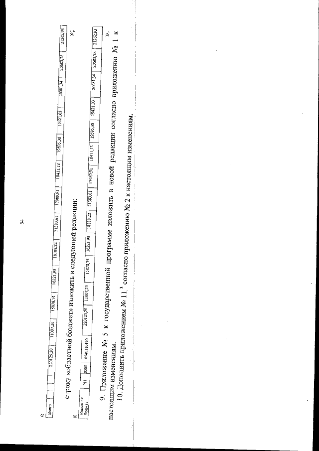
Постановление Правительства Амурской области от 02.04.2019 № 166
"О внесении изменений в постановление Правительства Амурской области от 25.09.2013 № 452"
Номер опубликования: 2800201904080001
Дата опубликования: 08.04.2019
Страница №55 из 65:
Увеличить