Официальное опубликование правовых актов
ОФИЦИАЛЬНОЕ ОПУБЛИКОВАНИЕ
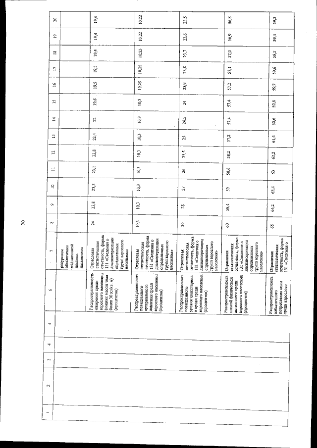
Постановление Правительства Амурской области от 21.03.2019 № 118
"О внесении изменений в постановление Правительства области от 03.07.2013 № 302"
Номер опубликования: 2800201903270006
Дата опубликования: 27.03.2019
Страница №71 из 241:
Увеличить