Официальное опубликование правовых актов
ОФИЦИАЛЬНОЕ ОПУБЛИКОВАНИЕ
Постановление Правительства Амурской области от 21.06.2018 № 279
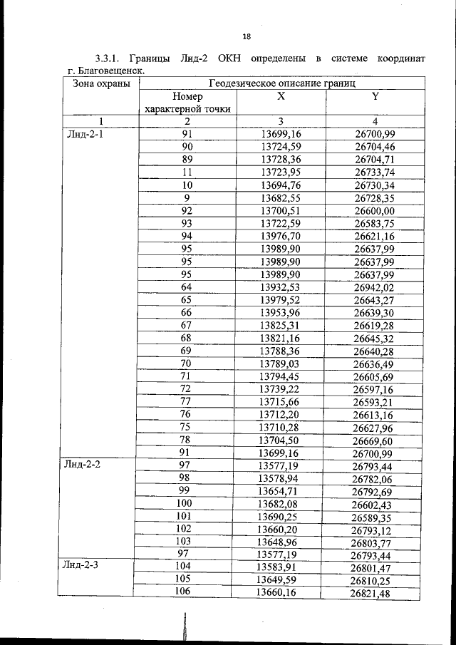
"Об утверждении границ зон охраны объекта культурного наследия регионального значения "Здание (бывшее женское епархиальное училище), ныне педучилище №1", режимов использования земель и требований к градостроительным регламентам в границах территорий данных зон"
Номер опубликования: 2800201806280010
Дата опубликования: 28.06.2018
Страница №19 из 20:
Увеличить