Официальное опубликование правовых актов
ОФИЦИАЛЬНОЕ ОПУБЛИКОВАНИЕ
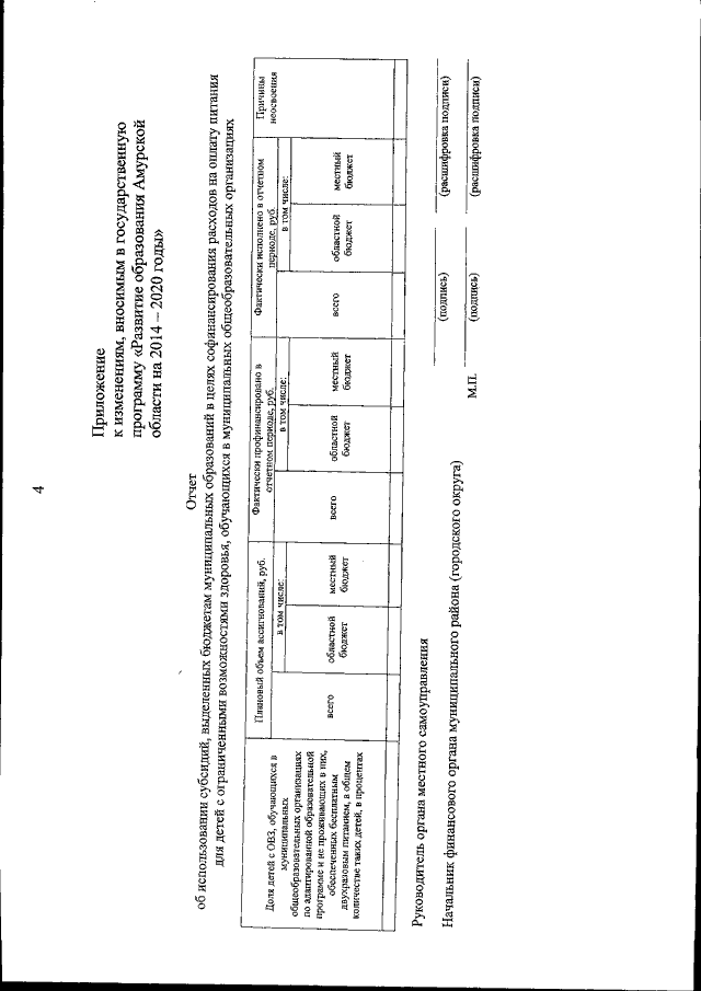
Постановление Правительства Амурской области от 03.04.2018 № 139
"О внесении изменений в постановление Правительства области от 25.09.2013 № 448"
Номер опубликования: 2800201804050006
Дата опубликования: 05.04.2018
Страница №5 из 5:
Увеличить