Официальное опубликование правовых актов
ОФИЦИАЛЬНОЕ ОПУБЛИКОВАНИЕ
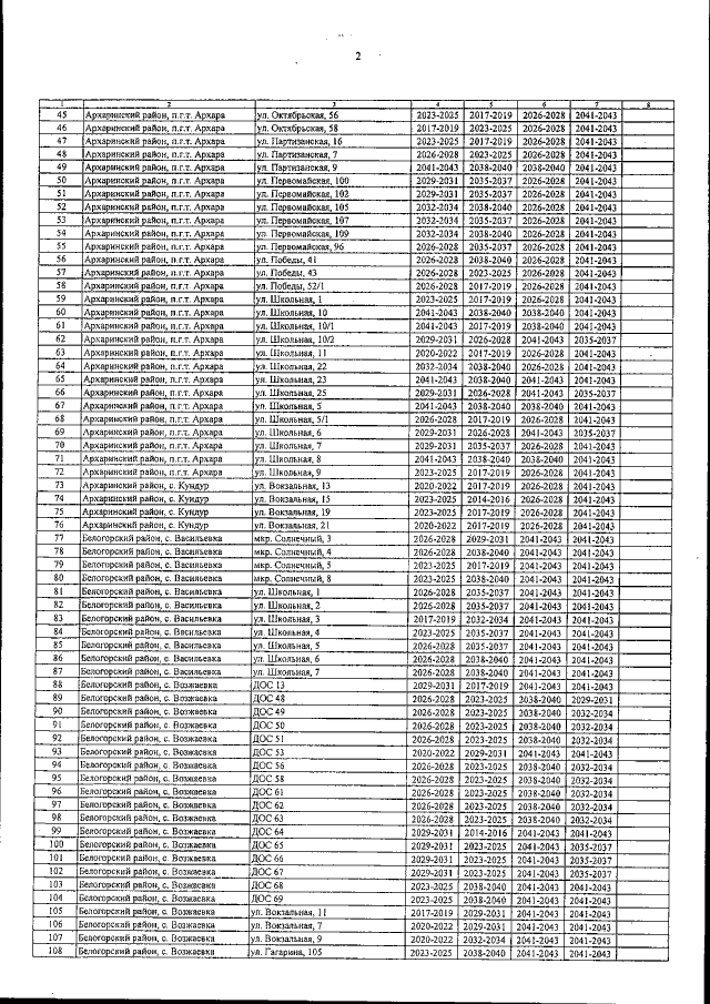
Постановление Правительства Амурской области от 14.02.2018 № 64
"О внесении изменений в постановление Правительства области от 23.01.2014 № 26"
Номер опубликования: 2800201802160002
Дата опубликования: 16.02.2018
Страница №3 из 81:
Увеличить