Официальное опубликование правовых актов
ОФИЦИАЛЬНОЕ ОПУБЛИКОВАНИЕ
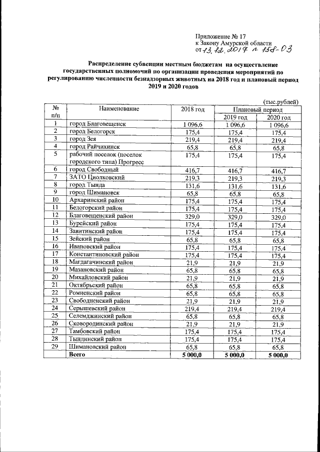
Закон Амурской области от 13.12.2017 № 158-ОЗ
"Об областном бюджете на 2018 год и плановый период 2019 и 2020 годов"
Номер опубликования: 2800201712180003
Дата опубликования: 18.12.2017
Страница №290 из 317:
Увеличить