Официальное опубликование правовых актов
ОФИЦИАЛЬНОЕ ОПУБЛИКОВАНИЕ
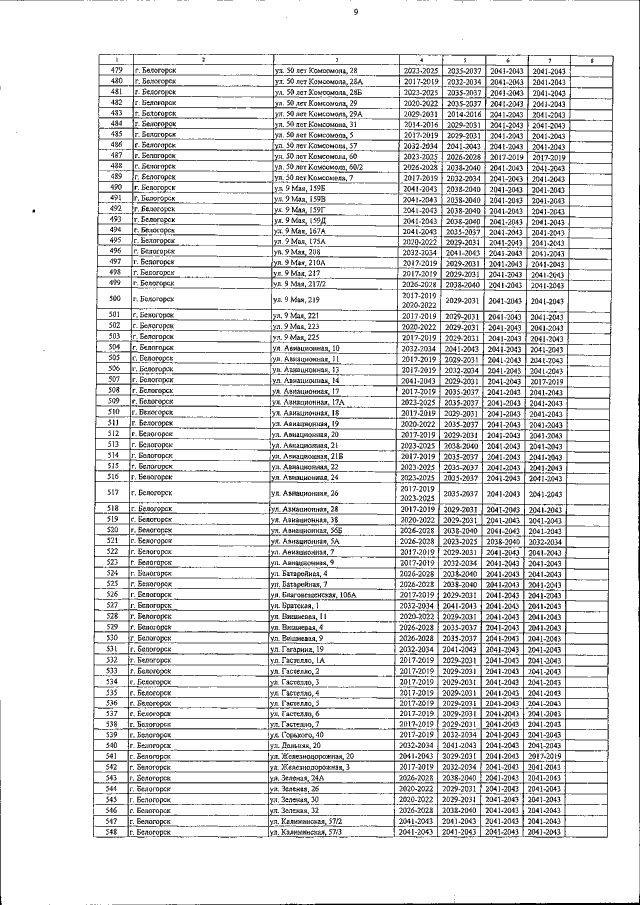
Постановление Правительства Амурской области от 27.11.2017 № 561
"О внесении изменений в постановление Правительства области от 23.01.2014 № 26"
Номер опубликования: 2800201712010001
Дата опубликования: 01.12.2017
Страница №12 из 74:
Увеличить