Официальное опубликование правовых актов
ОФИЦИАЛЬНОЕ ОПУБЛИКОВАНИЕ
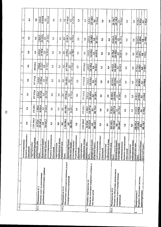
Постановление Правительства Амурской области от 21.11.2017 № 556
"О внесении изменений в постановление Правительства Амурской области от 03.07.2013 № 302"
Номер опубликования: 2800201711230013
Дата опубликования: 23.11.2017
Страница №57 из 82:
Увеличить