Официальное опубликование правовых актов
ОФИЦИАЛЬНОЕ ОПУБЛИКОВАНИЕ
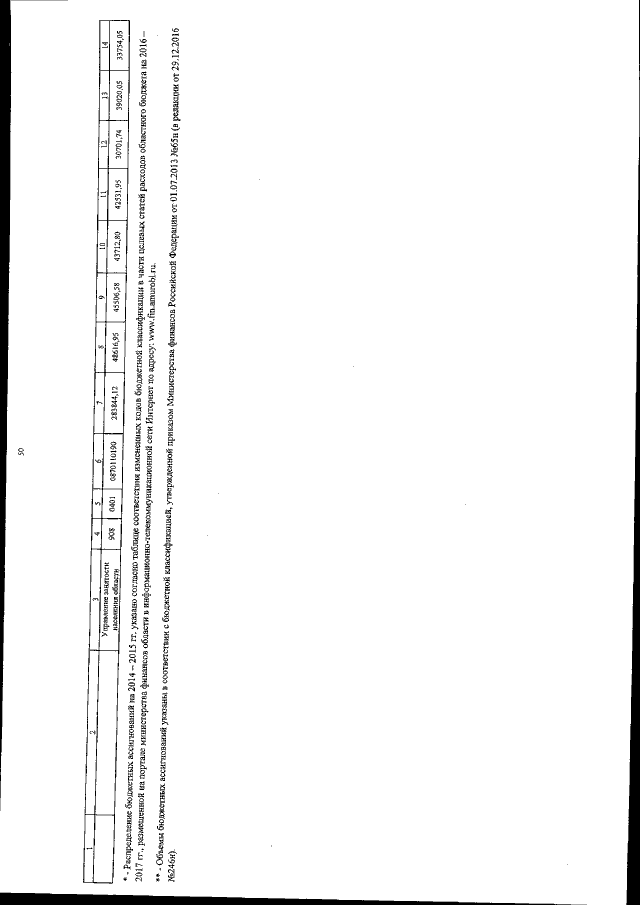
Постановление Правительства Амурской области от 25.09.2017 № 458
"О внесении изменений в постановление Правительства области от 25.09.2013 № 445"
Номер опубликования: 2800201709280006
Дата опубликования: 28.09.2017
Страница №51 из 62:
Увеличить