Официальное опубликование правовых актов
ОФИЦИАЛЬНОЕ ОПУБЛИКОВАНИЕ
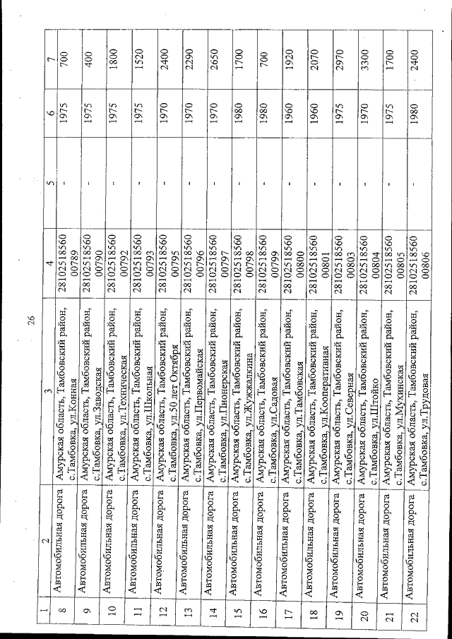
Постановление Правительства Амурской области от 11.04.2017 № 179
"О разграничении имущества между муниципальными образованиями Тамбовского района Амурской области"
Номер опубликования: 2800201704140001
Дата опубликования: 14.04.2017
Страница №29 из 34:
Увеличить