Официальное опубликование правовых актов
ОФИЦИАЛЬНОЕ ОПУБЛИКОВАНИЕ
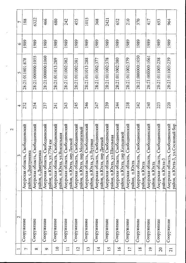
Постановление Правительства Амурской области от 22.02.2017 № 81
"О разграничении имущества между муниципальными образованиями Свободненского района Амурской области"
Номер опубликования: 2800201702280009
Дата опубликования: 28.02.2017
Страница №5 из 38:
Увеличить