Официальное опубликование правовых актов
ОФИЦИАЛЬНОЕ ОПУБЛИКОВАНИЕ
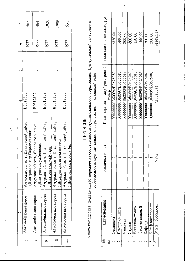
Постановление Правительства Амурской области от 27.01.2017 № 37
"О разграничении имущества между муниципальными образованиями Ивановского района Амурской области"
Номер опубликования: 2800201701310015
Дата опубликования: 31.01.2017
Страница №25 из 49:
Увеличить