Официальное опубликование правовых актов
ОФИЦИАЛЬНОЕ ОПУБЛИКОВАНИЕ
Постановление Правительства Амурской области от 19.12.2016 № 561
"О внесении изменений в постановление Правительства области от 25.09.2013 № 448"
Номер опубликования: 2800201612260012
Дата опубликования: 26.12.2016
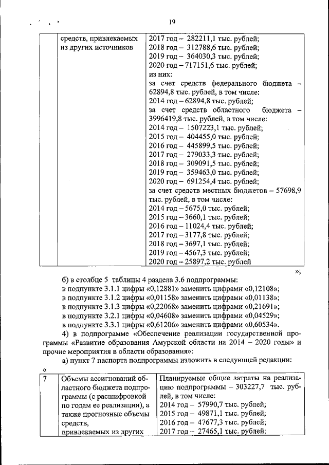
Страница №20 из 48:
Увеличить