Официальное опубликование правовых актов
ОФИЦИАЛЬНОЕ ОПУБЛИКОВАНИЕ
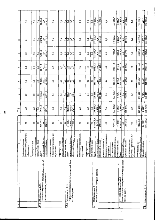
Постановление Правительства Амурской области от 23.11.2016 № 523
"О внесении изменений в постановление Правительства области от 03.07.2013 № 302"
Номер опубликования: 2800201611290001
Дата опубликования: 29.11.2016
Страница №41 из 55:
Увеличить