Официальное опубликование правовых актов
ОФИЦИАЛЬНОЕ ОПУБЛИКОВАНИЕ
Постановление Правительства Амурской области от 30.09.2016 № 428
"О внесении изменений в постановление Правительства области от 25.09.2013 № 444"
Номер опубликования: 2800201610100001
Дата опубликования: 10.10.2016
Страница №11 из 109:
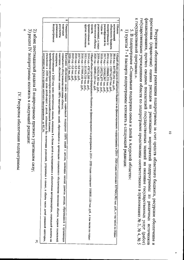
Увеличить