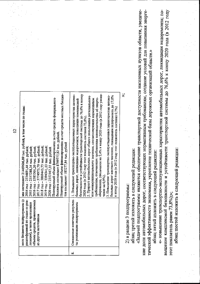
Постановление Правительства Амурской области от 30.09.2016 № 429
"О внесении изменений в постановление Правительства Амурской области от 25.09.2013 № 450"
"О внесении изменений в постановление Правительства Амурской области от 25.09.2013 № 450"
Номер опубликования: 2800201610070008
Дата опубликования:
07.10.2016
