Официальное опубликование правовых актов
ОФИЦИАЛЬНОЕ ОПУБЛИКОВАНИЕ
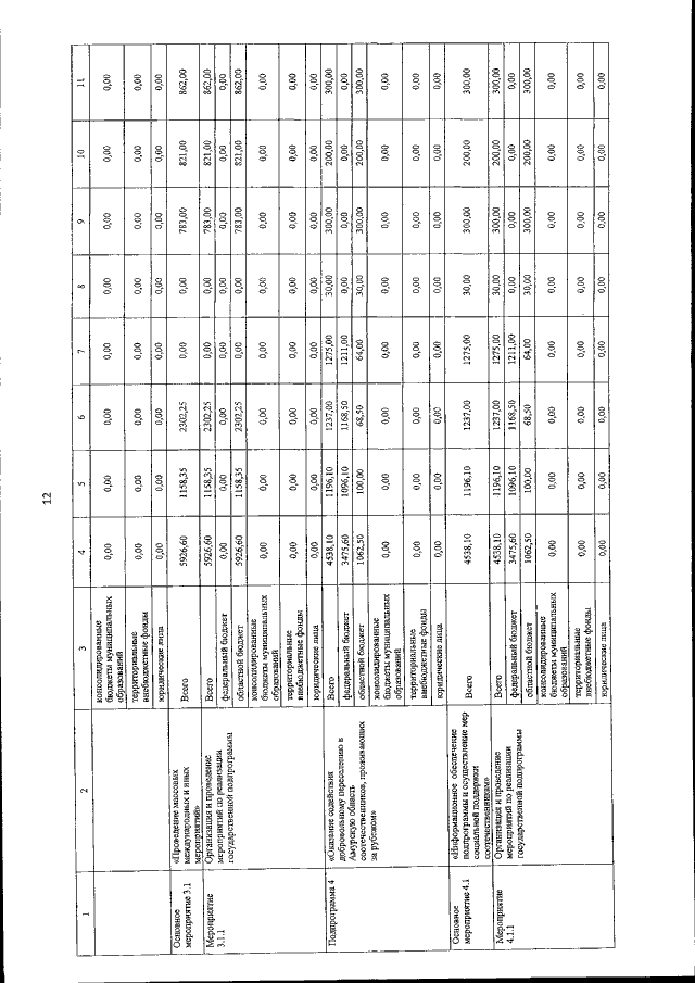
Постановление Правительства Амурской области от 13.09.2016 № 396
"О внесении изменений в постановление Правительства области от 25.09.2013 № 445"
Номер опубликования: 2800201609160003
Дата опубликования: 16.09.2016
Страница №13 из 17:
Увеличить