Официальное опубликование правовых актов
ОФИЦИАЛЬНОЕ ОПУБЛИКОВАНИЕ
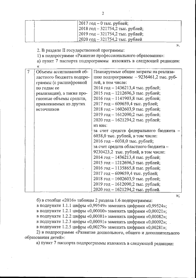
Постановление Правительства Амурской области от 25.05.2016 № 226
"О внесении изменений в постановление Правительства области от 25.09.2013 № 448"
Номер опубликования: 2800201605270020
Дата опубликования: 27.05.2016
Страница №3 из 33:
Увеличить