Официальное опубликование правовых актов
ОФИЦИАЛЬНОЕ ОПУБЛИКОВАНИЕ
Постановление Правительства Амурской области от 23.03.2016 № 96
"О внесении изменений в постановление Правительства Амурской области от 25.09.2013 № 442"
Номер опубликования: 2800201603240001
Дата опубликования: 24.03.2016
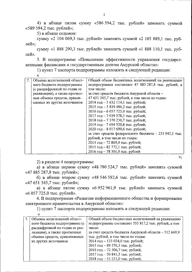
Страница №3 из 24:
Увеличить