Официальное опубликование правовых актов
ОФИЦИАЛЬНОЕ ОПУБЛИКОВАНИЕ
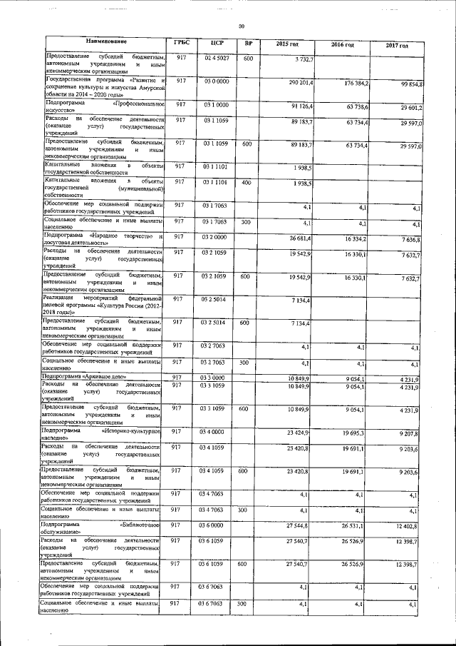
Закон Амурской области от 20.11.2015 № 610-ОЗ
"О внесении изменений в Закон Амурской области "Об областном бюджете на 2015 год и плановый период 2016 и 2017 годов"
Номер опубликования: 2800201511240001
Дата опубликования: 24.11.2015
Страница №73 из 99:
Увеличить