Официальное опубликование правовых актов
ОФИЦИАЛЬНОЕ ОПУБЛИКОВАНИЕ
Постановление Правительства Амурской области от 22.06.2015 № 305
"О внесении изменений в постановление Правительства Амурской области от 25.09.2013 № 442"
Номер опубликования: 2800201506250002
Дата опубликования: 25.06.2015
Страница №3 из 18:
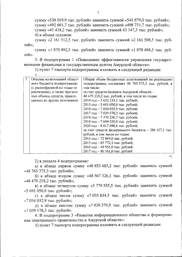
Увеличить