Официальное опубликование правовых актов
ОФИЦИАЛЬНОЕ ОПУБЛИКОВАНИЕ
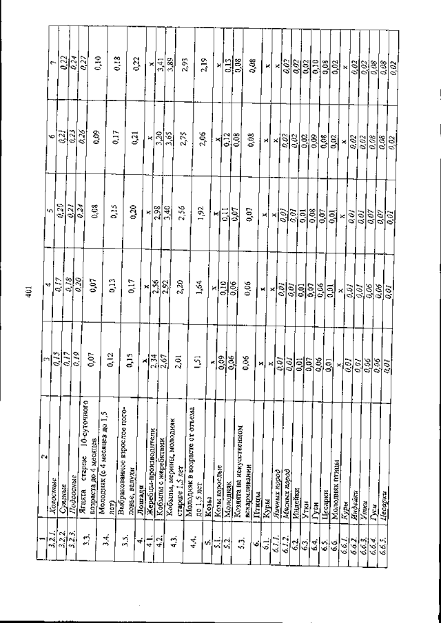
Постановление Правительства Амурской области от 31.03.2015 № 136
"О внесении изменений в постановление Правительства области от 30.08.2012 № 466"
Номер опубликования: 2800201504030001
Дата опубликования: 03.04.2015
Страница №403 из 432:
Увеличить