Официальное опубликование правовых актов
ОФИЦИАЛЬНОЕ ОПУБЛИКОВАНИЕ
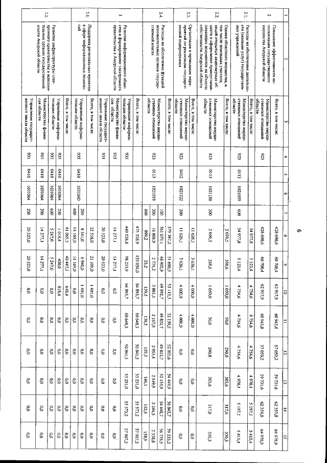
Постановление Правительства Амурской области от 26.01.2015 № 12
"О внесении изменений в постановление Правительства Амурской области от 25.09.2013 № 442"
Номер опубликования: 2800201501290005
Дата опубликования: 29.01.2015
Страница №7 из 15:
Увеличить