Официальное опубликование правовых актов
ОФИЦИАЛЬНОЕ ОПУБЛИКОВАНИЕ
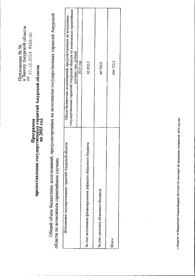
Закон Амурской области от 10.12.2014 № 458-ОЗ
"Об областном бюджете на 2015 год и плановый период 2016 и 2017 годов"
Номер опубликования: 2800201412120002
Дата опубликования: 12.12.2014
Страница №210 из 211:
Увеличить