Официальное опубликование правовых актов
ОФИЦИАЛЬНОЕ ОПУБЛИКОВАНИЕ
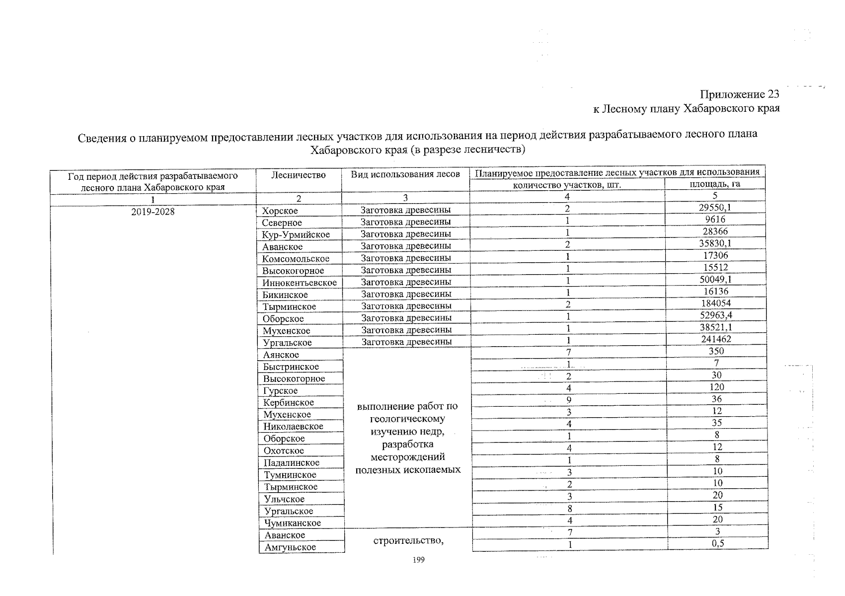
Постановление Губернатора Хабаровского края от 12.09.2025 № 80
"О внесении изменения в лесной план Хабаровского края на 2019 – 2028 годы, утвержденный постановлением Губернатора Хабаровского края от 31 января 2019 г. № 5 "Об утверждении лесного плана Хабаровского края на 2019 – 2028 годы"
Номер опубликования: 2700202509160001
Дата опубликования: 16.09.2025
Страница №200 из 263:
Увеличить