Официальное опубликование правовых актов
ОФИЦИАЛЬНОЕ ОПУБЛИКОВАНИЕ
Постановление Правительства Хабаровского края от 15.01.2025 № 2-пр
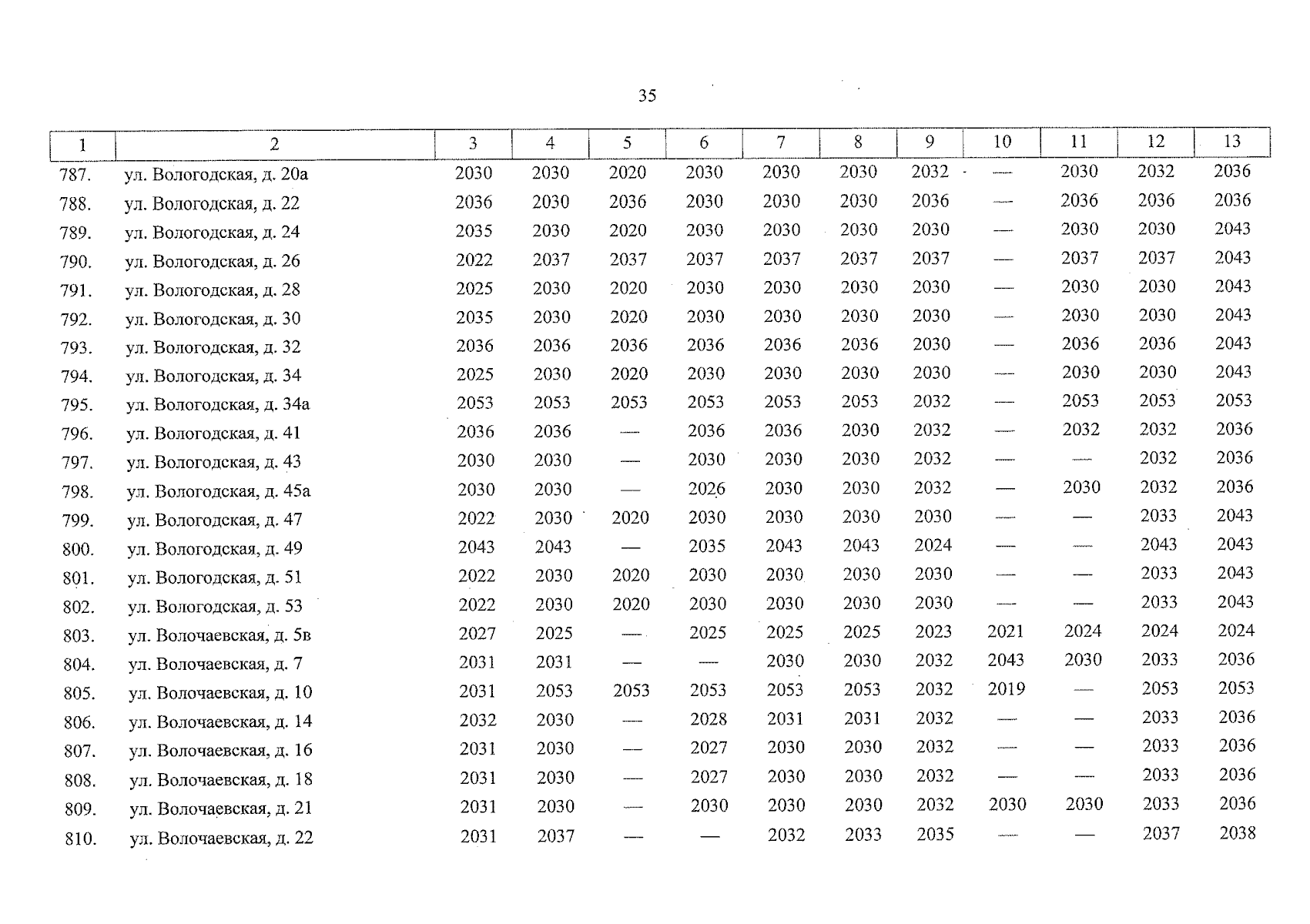
"О внесении изменения в Программу капитального ремонта общего имущества в многоквартирных домах Хабаровского края на 2014 – 2053 годы, утвержденную постановлением Правительства Хабаровского края от 30 декабря 2013 г. № 479-пр"
Номер опубликования: 2700202501170008
Дата опубликования: 17.01.2025
Страница №36 из 336:
Увеличить