Официальное опубликование правовых актов
ОФИЦИАЛЬНОЕ ОПУБЛИКОВАНИЕ
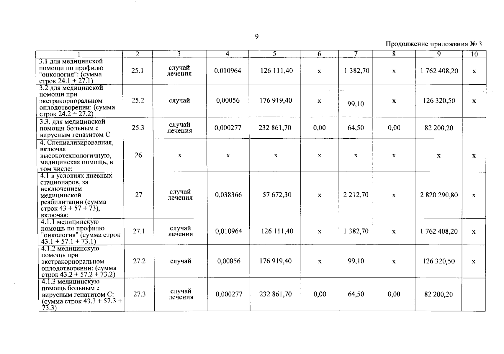
Постановление Правительства Хабаровского края от 26.12.2024 № 485-пр
"Об утверждении изменений, вносимых в Территориальную программу государственных гарантий бесплатного оказания гражданам медицинской помощи на территории Хабаровского края на 2024 год и на плановый период 2025 и 2026 годов, утвержденную постановлением Правительства Хабаровского края от 31 декабря 2023 г. № 595-пр"
Номер опубликования: 2700202412270019
Дата опубликования: 27.12.2024
Страница №50 из 68:
Увеличить