Официальное опубликование правовых актов
ОФИЦИАЛЬНОЕ ОПУБЛИКОВАНИЕ
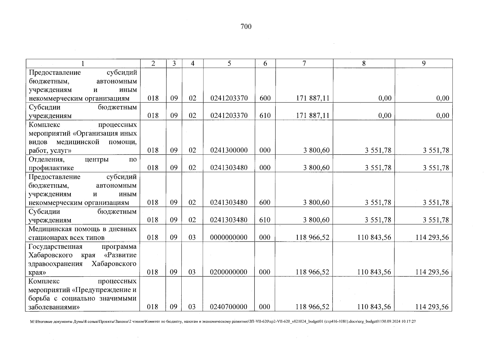
Закон Хабаровского края от 03.10.2024 № 1
"О внесении изменений в Закон Хабаровского края "О краевом бюджете на 2024 год и на плановый период 2025 и 2026 годов"
Номер опубликования: 2700202410040004
Дата опубликования: 04.10.2024
Страница №700 из 1156:
Увеличить