Официальное опубликование правовых актов
ОФИЦИАЛЬНОЕ ОПУБЛИКОВАНИЕ
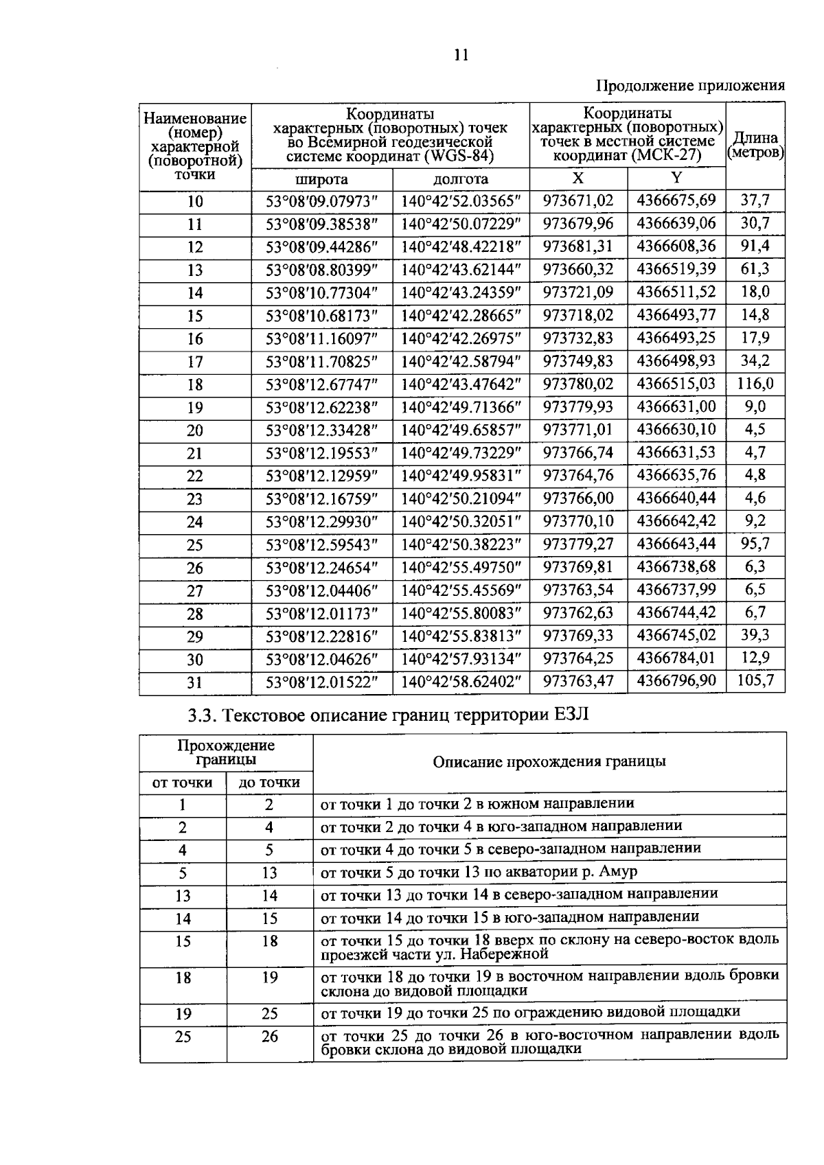
Постановление Правительства Хабаровского края от 28.08.2023 № 394-пр
"Об установлении объединенной зоны охраны объектов культурного наследия: "Памятник Невельскому Геннадию Ивановичу", "Братская могила партизан, 1920 г. (124 человека)", "Могила Кантера О.К., революционера, одного из руководителей советских спецслужб, государственного деятеля (1885 – 1935)", Хабаровский край, г. Николаевск-на-Амуре, ул. Советская, сквер, режимов использования земель и земельных участков и утверждении требований к градостроительным регламентам в границах территории данной зоны"
Номер опубликования: 2700202308310006
Дата опубликования: 31.08.2023
Страница №12 из 17:
Увеличить