Официальное опубликование правовых актов
ОФИЦИАЛЬНОЕ ОПУБЛИКОВАНИЕ
Постановление Правительства Хабаровского края от 21.08.2023 № 377-пр
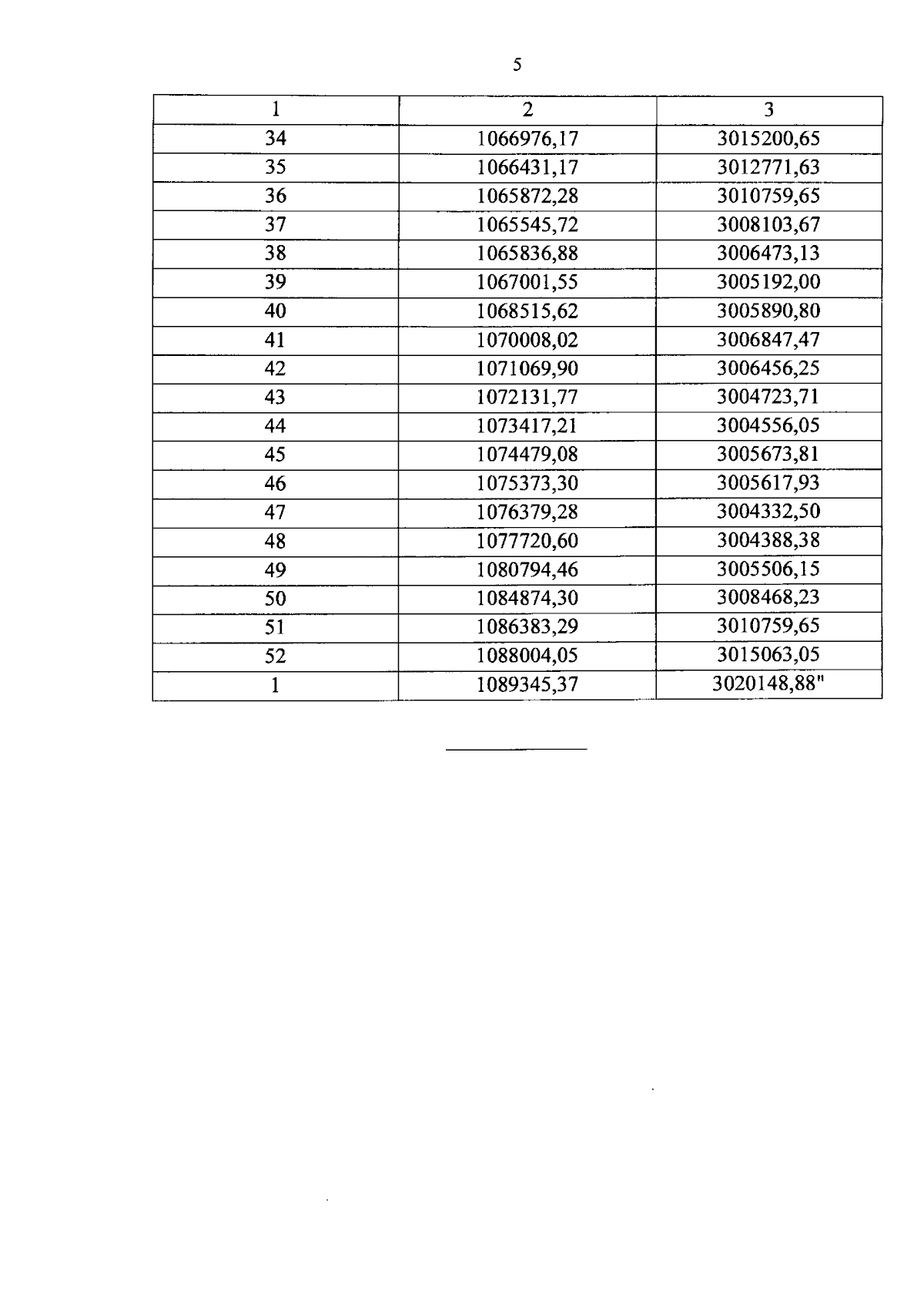
"О внесении изменений в решение исполнительного комитета Хабаровского краевого Совета народных депутатов от 26 апреля 1984 г. № 231 "Об организации в Тугуро-Чумиканском районе государственного природного заказника краевого значения"
Номер опубликования: 2700202308230002
Дата опубликования: 23.08.2023
Страница №8 из 8:
Увеличить