Официальное опубликование правовых актов
ОФИЦИАЛЬНОЕ ОПУБЛИКОВАНИЕ
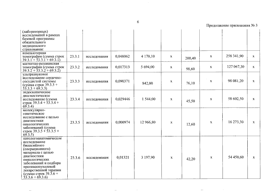
Постановление Правительства Хабаровского края от 13.06.2023 № 272-пр
"Об утверждении изменений, вносимых в Территориальную программу государственных гарантий бесплатного оказания гражданам медицинской помощи на территории Хабаровского края на 2023 год и на плановый период 2024 и 2025 годов, утвержденную постановлением Правительства Хабаровского края от 30 декабря 2022 г. № 735-пр"
Номер опубликования: 2700202306140006
Дата опубликования: 14.06.2023
Страница №55 из 74:
Увеличить