Официальное опубликование правовых актов
ОФИЦИАЛЬНОЕ ОПУБЛИКОВАНИЕ
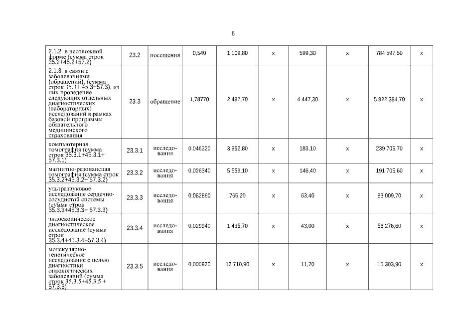
Постановление Правительства Хабаровского края от 29.12.2022 № 726-пр
"О внесении изменений в Территориальную программу государственных гарантий бесплатного оказания гражданам медицинской помощи на территории Хабаровского края на 2022 год и на плановый период 2023 и 2024 годов, утвержденную постановлением Правительства Хабаровского края от 30 декабря 2021 г. № 696-пр"
Номер опубликования: 2700202212300029
Дата опубликования: 30.12.2022
Страница №20 из 36:
Увеличить