Официальное опубликование правовых актов
ОФИЦИАЛЬНОЕ ОПУБЛИКОВАНИЕ
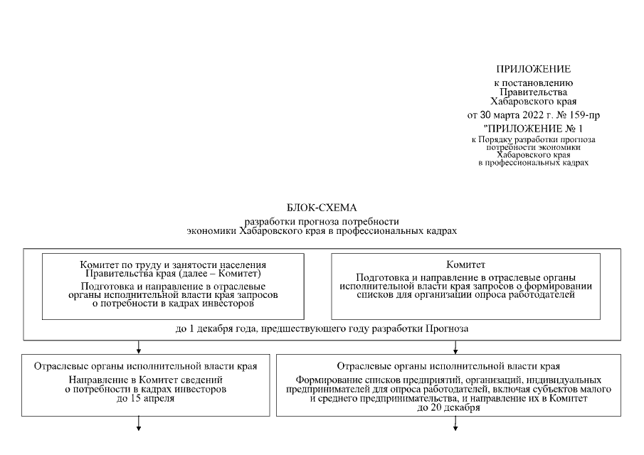
Постановление Правительства Хабаровского края от 30.03.2022 № 159-пр
"О внесении изменений в Порядок разработки прогноза потребности экономики Хабаровского края в профессиональных кадрах, утвержденный постановлением Правительства Хабаровского края от 23 декабря 2020 г. № 556-пр"
Номер опубликования: 2700202204010021
Дата опубликования: 01.04.2022
Страница №3 из 5:
Увеличить