Официальное опубликование правовых актов
ОФИЦИАЛЬНОЕ ОПУБЛИКОВАНИЕ
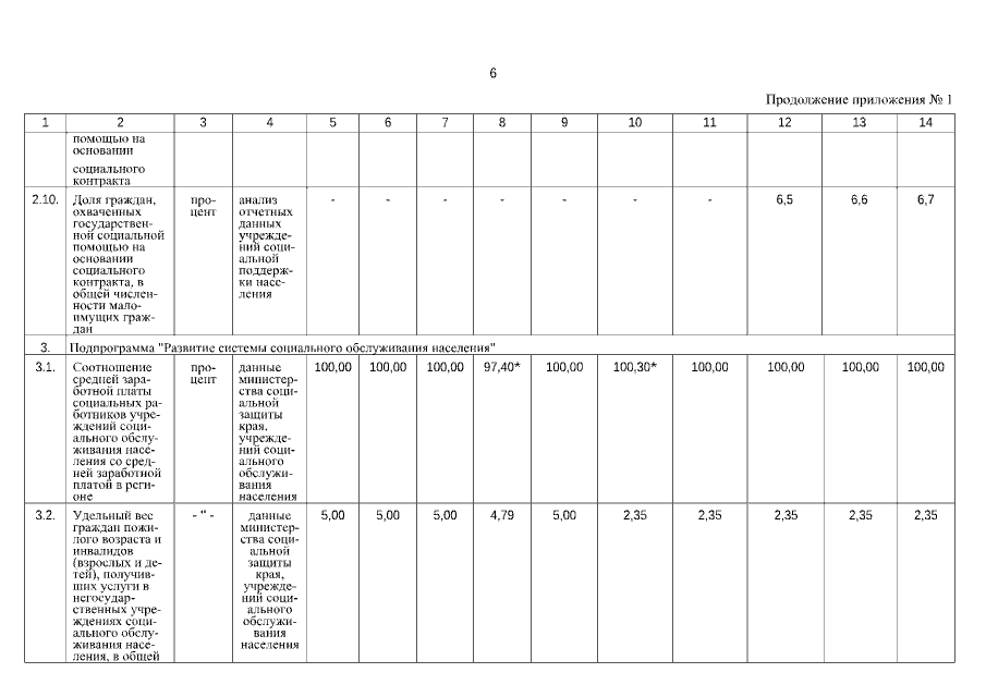
Постановление Правительства Хабаровского края от 29.03.2022 № 148-пр
"Об утверждении изменений, вносимых в государственную программу Хабаровского края "Развитие социальной защиты населения Хабаровского края", утвержденную постановлением Правительства Хабаровского края от 16 мая 2012 г. № 152-пр"
Номер опубликования: 2700202203310003
Дата опубликования: 31.03.2022
Страница №19 из 102:
Увеличить