Официальное опубликование правовых актов
ОФИЦИАЛЬНОЕ ОПУБЛИКОВАНИЕ
Распоряжение Правительства Хабаровского края от 27.12.2021 № 1324-рп
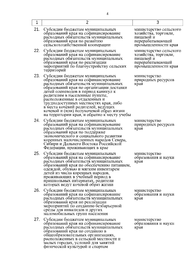
"Об утверждении Перечня межбюджетных трансфертов из краевого бюджета в местные бюджеты Хабаровского края в форме субсидий, субвенций, иных межбюджетных трансфертов, имеющих целевое назначение, предоставление которых в 2022 году осуществляется в пределах суммы, необходимой для оплаты денежных обязательств по расходам получателей средств местного бюджета, в целях софинансирования (финансового обеспечения) которых предоставляются такие межбюджетные трансферты"
Номер опубликования: 2700202112300009
Дата опубликования: 30.12.2021
Страница №5 из 12:
Увеличить