Официальное опубликование правовых актов
ОФИЦИАЛЬНОЕ ОПУБЛИКОВАНИЕ
Постановление Правительства Хабаровского края от 29.12.2021 № 692-пр
"О внесении изменений в государственную программу Хабаровского края "Развитие транспортной системы Хабаровского края", утвержденную постановлением Правительства Хабаровского края от 5 мая 2012 г. № 146-пр"
Номер опубликования: 2700202112300002
Дата опубликования: 30.12.2021
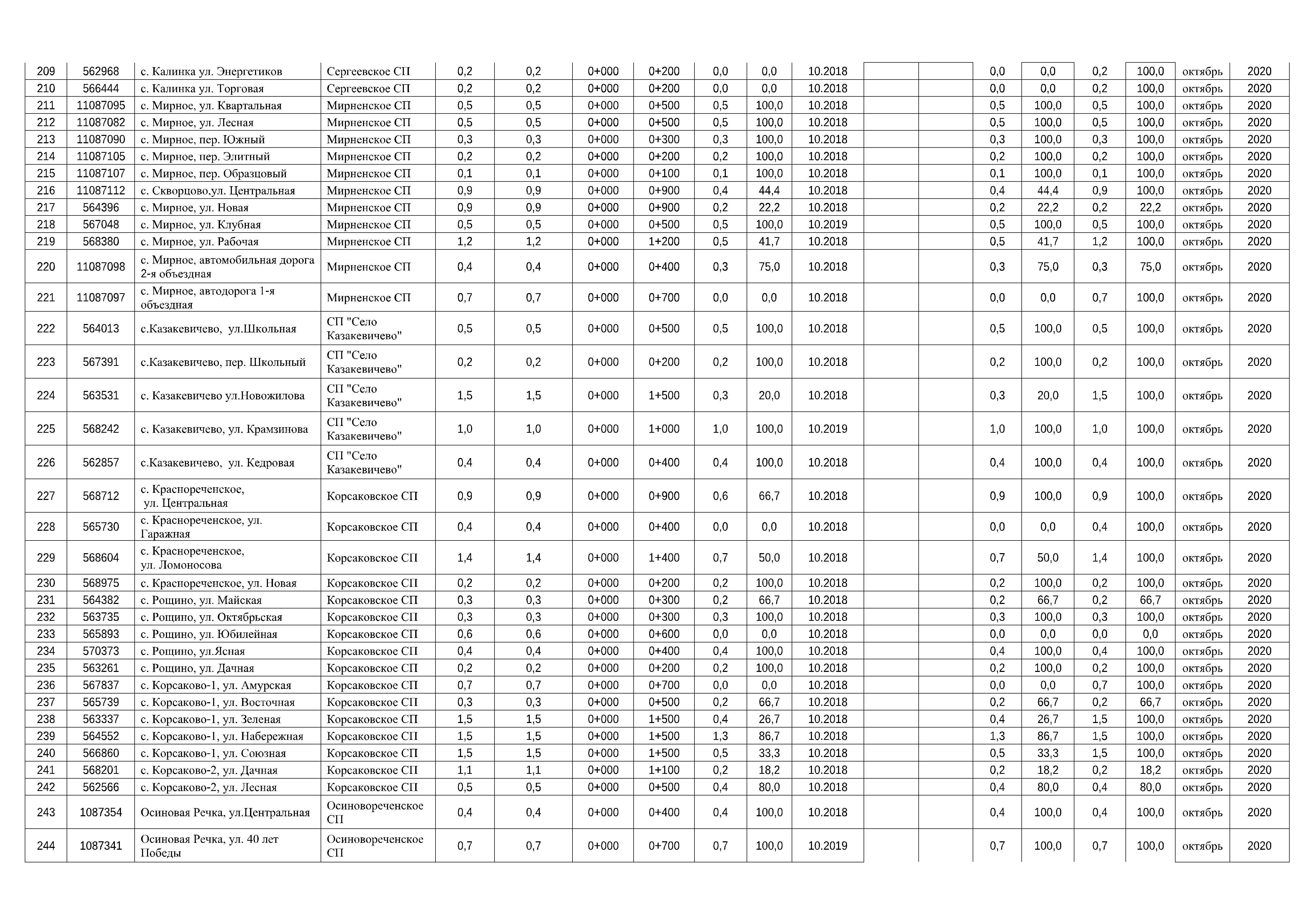
Страница №209 из 261: