Постановление Правительства Хабаровского края от 16.12.2021 № 636-пр
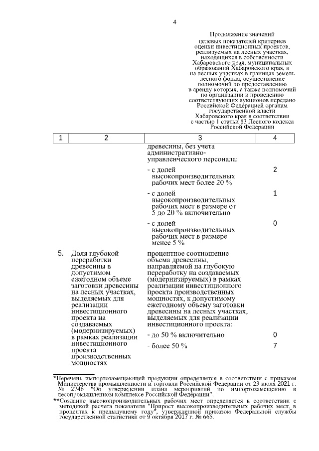
"Об установлении значений целевых показателей критериев оценки инвестиционных проектов, реализуемых на лесных участках, находящихся в собственности Хабаровского края, муниципальных образований Хабаровского края, и на лесных участках в границах земель лесного фонда, осуществление полномочий по предоставлению в аренду которых, а также полномочий по организации и проведению соответствующих аукционов передано Российской Федерацией органам государственной власти Хабаровского края в соответствии с частью 1 статьи 83 Лесного кодекса Российской Федерации"
"Об установлении значений целевых показателей критериев оценки инвестиционных проектов, реализуемых на лесных участках, находящихся в собственности Хабаровского края, муниципальных образований Хабаровского края, и на лесных участках в границах земель лесного фонда, осуществление полномочий по предоставлению в аренду которых, а также полномочий по организации и проведению соответствующих аукционов передано Российской Федерацией органам государственной власти Хабаровского края в соответствии с частью 1 статьи 83 Лесного кодекса Российской Федерации"
Номер опубликования: 2700202112170006
Дата опубликования:
17.12.2021
