Официальное опубликование правовых актов
ОФИЦИАЛЬНОЕ ОПУБЛИКОВАНИЕ
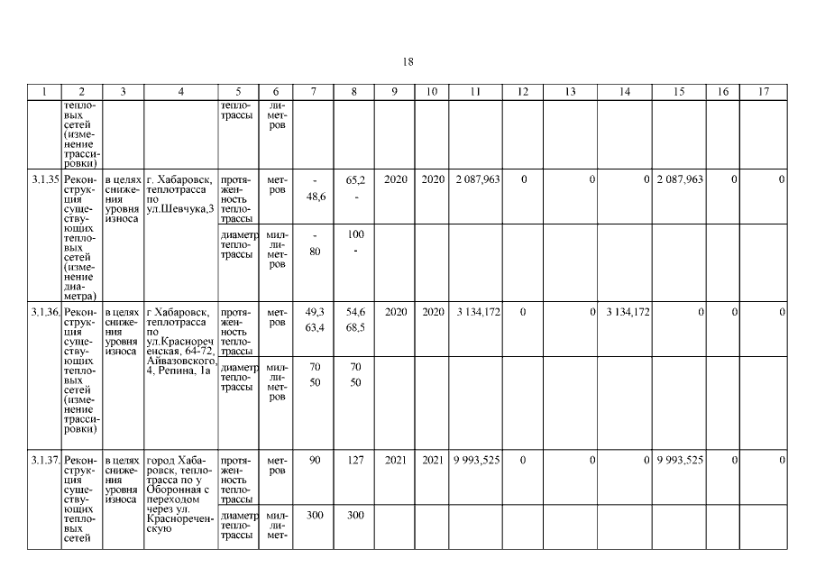
Распоряжение Правительства Хабаровского края от 11.10.2021 № 992-рп
"О внесении изменений в Инвестиционную программу муниципального унитарного предприятия города Хабаровска "Тепловые сети" в сфере теплоснабжения на 2019 – 2021 годы, утвержденную распоряжением Правительства Хабаровского края от 11 октября 2018 г. № 662-рп"
Номер опубликования: 2700202110190010
Дата опубликования: 19.10.2021
Страница №19 из 40:
Увеличить